Natur der Supraleitung von wasserstoffreichen Verbindungen
Hochdruck-Elektronentunnelspektroskopie zeigt eine supraleitende Lücke in H3S und D3S.
Forschenden ist ein wichtiger Meilenstein auf dem Weg zum Verständnis der Hochtemperatur-Supraleitung in wasserstoffreichen Materialien gelungen. Mit Hilfe einer Elektronen-Tunnelspektroskopie unter hohem Druck hat ein internationales Forscherteam unter der Leitung des Max-Planck-Instituts für Chemie die Energielücke im supraleitenden H₃S gemessen – dem Material, für das im Jahr 2015 ein Rekord für Hochtemperatur-Supraleitung aufgestellt wurde und als Ausgangsverbindung für nachfolgende hochtemperatur-supraleitende Hydride dient. Die Ergebnisse, die diese Woche im Magazine Nature veröffentlicht wurden, liefern den ersten direkten mikroskopischen Nachweis für Supraleitung in wasserstoffreichen Materialien und sind ein wichtiger Schritt zu deren Verständnis.

Supraleiter sind Materialien, die Strom ohne Widerstand leiten. Das macht sie für Technologien wie Energieübertragung und -speicherung, Magnetschwebetechnik und Quantencomputer sehr interessant. Das Phänomen der Supraleitung wurde bisher jedoch meist weit unterhalb der Umgebungstemperatur beobachtet, was den breiten praktischen Einsatz einschränkt. Daher war die Entdeckung von wasserstoffreichen Verbindungen wie Schwefelwasserstoff (H2S) und Lanthandecahydrid (LaH10), die bei 203 Kelvin (-70 °Celsius) beziehungsweise bei 250 Kelvin (-23 °Celsius) supraleitend werden, ein bedeutender Fortschritt auf dem Weg zur Supraleitung bei Raumtemperatur. Da die Temperaturen, bei denen die Materialien supraleitend werden, weit über dem Siedepunkt von flüssigem Stickstoff liegen, sprechen Forschende von Hochtemperatur-Supraleitern.
Der Schlüssel zum Verständnis der Supraleitung liegt in der supraleitenden Energielücke – einer grundlegenden Eigenschaft, die Aufschluss darüber gibt, wie sich Elektronen zu Paaren verbinden, um den supraleitenden Zustand zu erreichen. Dieses Merkmal unterscheidet den supraleitenden Zustand gegenüber anderen metallischen Zuständen eines Materials.
Die Messung der supraleitenden Energielücke in wasserstoffreichen Materialien wie H3S ist jedoch äußerst herausfordernd. Diese Verbindungen müssen unter extrem hohem Druck, der mehr als eine Million Mal höher ist, als der atmosphärische Druck, synthetisiert werden. Dadurch sind herkömmliche Techniken zum Nachweis der supraleitenden Energielücke wie die Rastertunnelmikroskopie nicht anwendbar.
Elektronen-Tunnelspektroskopie macht direkte Einblicke in den supraleitenden Zustand wasserstoffreicher Verbindungen möglich
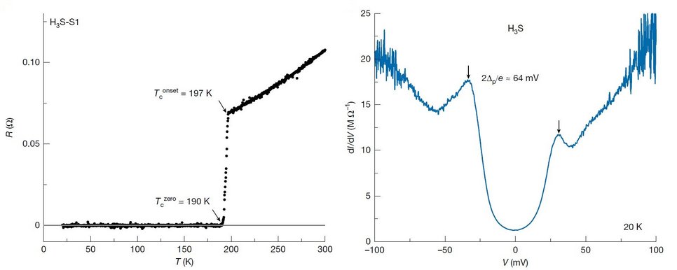
Wissenschaftler und Wissenschaftlerinnen am Max-Planck-Institut in Mainz entwickelten daher eine spezielle planbare Elektronen-Tunnelspektroskopie, die auch unter solchen extremen Bedingungen eingesetzt werden kann. Damit gelang es ihnen erstmals, die supraleitende Energielücke in H3S zu ermitteln und so direkt Einblicke in den supraleitenden Zustand wasserstoffreicher Verbindungen zu gewinnen.
Die Forschenden entdeckten, dass H3S eine vollständig offene supraleitende Energielücke in Höhe von etwa 60 Millielektronenvolt (meV) aufweist, während sein Deuterium-Analoge D3S eine Lücke von etwa 44 meV zeigt. Das Wasserstoffisotop Deuterium wird auch als schwerer Wasserstoff bezeichnet und besitzt ein Neutron mehr. Die Tatsache, dass die Energielücke in D3S kleiner ist als in H3S, stützt eine langjährige theoretische Vorhersage: Sie besagt, dass die Wechselwirkungen von Elektronen und Phononen – das sind quantisierte Schwingungen des Atomgitters eines Materials – den Supraleitungsmechanismus von H3S verursacht.
Für die Mainzer Forschenden ist ihre Entdeckung mehr als nur eine technische Errungenschaft, da sie auch den Grundstein legt, um den Ursprung der Hochtemperatur-Supraleitung in wasserstoffreichen Materialien vollständig zu entschlüsseln. „Wir hoffen, dass es durch die Ausweitung dieser Tunneltechnik auf andere Hydrid-Supraleiter gelingt, die Schlüsselfaktoren für die Supraleitung bei noch höheren Temperaturen zu identifizieren. Das sollte letztlich die Entwicklung neuer Materialien ermöglichen, die unter praktischeren Bedingungen eingesetzt werden können“, sagt Feng Du, Erstautor der jetzt erschienenen Studie.
Dr. Mikhail Eremets, ein Pionier auf dem Gebiet der Hochdruck-Supraleitung, der im November 2024 verstarb, bezeichnete die Studie als „die wichtigste Arbeit auf dem Gebiet der Hydrid-Supraleitung seit der Entdeckung der Supraleitung in H3S im Jahr 2015“. „Mikhails Vision von Supraleitern, die bei Raumtemperatur und moderatem Druck funktionieren, rückt durch diese Arbeit einen Schritt näher an die Realität“, kommentiert Vasily Minkov, Projektleiter für Hochdruckchemie und -physik am Max-Planck-Institut für Chemie.

Über Supraleitung:
Supraleitung ist die Eigenschaft von Materialien, elektrischen Strom ohne Widerstand zu leiten. Dieses Phänomen wurde 1911 von Heike Kamerlingh Onnes in reinem Quecksilber entdeckt und galt lange Zeit als nur bei extrem niedrigen Temperaturen nahe dem absoluten Nullpunkt (–273 °C) existierend. Dieses Paradigma änderte sich Ende der 1980er Jahre, als Georg Bednorz und Karl Alexander Müller eine neue Familie von Kupferoxid-Supraleitern (Cuprate) entdeckten, die unter atmosphärischem Druck Hochtemperatur-Supraleitung aufweisen.
Es folgte eine weltweite Forschungswelle, bei der schließlich eine kritische Temperatur (Tc) von etwa 133 K bei Normaldruck und 164 K unter hohem Druck erreicht wurde. Die kritische Temperatur ist der Wert, bei dem ein Material seinen Widerstand verliert. Bis zur Entdeckung wasserstoffreicher Verbindungen wurde kein Supraleiter mit einer höheren Tc entdeckt.
Die Entdeckung der Supraleitung in H3S bei Megabar-Drücken mit Tc = 203 K durch die Forschungsgruppe um Dr. Mikhail Eremets war daher ein revolutionärer Fortschritt auf dem Weg zur Supraleitung bei Raumtemperatur. Es folgten die Entdeckungen noch höherer Tc-Werte in wasserstoffreichen Metallhydriden wie YH9 (Tc ≈ 244 K) und LaH10 (Tc ≈ 250 K). Laut theoretischer Modelle ist Supraleitung in verschiedenen wasserstoffreichen Materialien bei Raumtemperatur möglich.
Über Cooper-Paare und supraleitende Energielücken:
In gewöhnlichen Metallen können Elektronen mit Energiezuständen in der Nähe des Fermi-Niveaus frei fließen. Das Fermi-Niveau ist das höchste Energieniveau, das Elektronen in einem Festkörper bei absolutem Nullpunkt einnehmen können. Wenn ein Material jedoch supraleitend wird, bilden die Elektronen sogenannte Cooper-Paare und treten in einen kollektiven Quantenzustand über. Als stark korrelierter Zustand bewegt sich das Cooper-Paar wie eine Einheit, ohne durch Phononen oder Verunreinigungen im Kristall des Materials zu streuen, und hat daher keinen Widerstand. Diese Paarung zeichnet sich durch eine Energielücke in der Nähe des Fermi-Niveaus aus – die supraleitende Lücke. Sie stellt die Mindestenergie dar, die erforderlich ist, um ein Cooper-Elektronenpaar aufzubrechen und schützt den supraleitenden Zustand vor Streuungen.
Die supraleitende Energielücke ist das charakteristische Merkmal des Quantenzustands eines Supraleiters. Ihre Größe und Symmetrie liefern wichtige Erkenntnisse darüber, wie Elektronen wechselwirken und sich paaren, und dienen als Fingerabdruck des Supraleitungsmechanismus.