Nature of Superconductivity in Hydrogen-Rich Compounds
High-pressure electron tunneling spectroscopy reveals a superconducting gap in H3S and D3S.
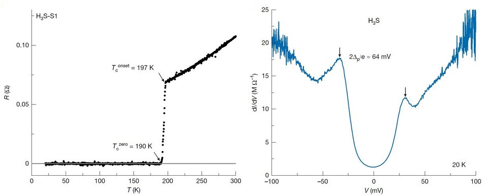
Scientists have achieved a major milestone in the quest to understand high-temperature superconductivity in hydrogen-rich materials. Using an electron tunneling spectroscopy under high pressure, the international research team led by the Max Planck Institute for Chemistry has measured the superconducting gap of H₃S – the material that set the high-pressure superconductivity record in 2015 and serves as the parent compound for subsequent high-temperature superconducting hydrides. The findings, published this week in Nature, provide the first direct microscopic evidence of superconductivity in hydrogen-rich materials and an important step toward its scientific understanding.

Superconductors are materials that can carry electrical current without resistance, making them invaluable for technologies such as energy transmission and storage, magnetic levitation, and quantum computing. However, this phenomenon has usually been found well below ambient temperature, limiting widespread practical applications. The discovery of superconductivity in hydrogen-rich compounds such as hydrogen sulfide (H2S) which becomes superconductive at 203 Kelvin (-70°Celsius) and lanthanum decahydrid (LaH10) reaching superconductivity at 250 Kelvin (-23°Celsius), marked a revolutionary advance towards achieving superconductivity at room temperature. Due to the transition temperature well above the boiling point of liquid nitrogen, researchers refer to high temperature superconductors.
The key to understanding superconductivity lies in the superconducting gap – a fundamental property that reveals how electrons pair up to form the superconducting state. It is the identification of superconducting state distinguishable from other metallic states.
Yet, measuring the superconducting gap in hydrogen-rich materials like H3S has remained extremely difficult. These compounds must be synthesized in situ under extraordinary pressures – more than a million times atmospheric pressure – making conventional techniques to measure the gap, such as scanning tunneling spectroscopy and angle-resolved photoemission spectroscopy, inapplicable.
Tunneling technique provides direct insight into the superconducting state of hydrogen-rich compounds
To overcome this barrier, researchers at the Max Planck Institute in Mainz developed a planar electron tunneling spectroscopy capable of operating under such extreme conditions. This achievement has enabled them to probe the superconducting gap in H3S for the first time, offering direct insight into the superconducting state of hydrogen-rich compounds.
Using this technique, the researchers discovered that H3S exhibits a fully open superconducting gap with a value of approximately 60 millielectronvolt (meV), while its deuterium analogue, D3S, shows a gap of about 44 meV. Deuterium is a hydrogen isotope and has one more neutron. The fact that the gap in D3S is smaller than in H3S confirms that the interaction of electrons with phonons – quantized vibrations of the atomic lattice of a material – causes the superconducting mechanism of H3S, supporting long-standing theoretical predictions.
For the Mainz researchers, this breakthrough is not just a technical achievement – it also lays the foundation for fully unraveling the origin of high-temperature superconductivity in hydrogen-rich materials. “We hope that by extending this tunneling technique to other hydride superconductors, the key factors that enable superconductivity at even higher temperatures can be pinpointed. This should ultimately enable the development of new materials that can operate under more practical conditions,” states Dr. Feng Du, first author of the now published study.
Dr. Mikhail Eremets, a pioneer in the field of high-pressure superconductivity who deceased in November 2024, described the study as “the most important work in the field of hydride superconductivity since the discovery of superconductivity in H3S in 2015.” Vasily Minkov, project leader of High-Pressure Chemistry and Physics at the Max Planck Institute for Chemistry commented: “Mikhail´s vision of superconductors operating at room temperature and moderate pressures comes a step closer to reality through this work.”

About Superconductivity:
Superconductivity is a remarkable property of materials to conduct electrical current without resistance. Discovered in pure mercury by Heike Kamerlingh Onnes in 1911, this phenomenon was long believed to exist at extremely low temperatures, close to absolute zero (–273 °C). That paradigm shifted in the late 1980s when Georg Bednorz and Karl Alexander Müller discovered a new family of cupper-oxide (cuprate) superconductors that exhibited high-temperature superconductivity under atmospheric pressure.
A wave of global research followed, eventually reaching a critical temperature (Tc), the temperature at which a material loses its resistance, of approximately 133 K at ambient pressure and 164 K under high pressure. However, no superconductor with a higher Tc had been discovered – until the advent of hydrogen-rich compounds.
The discovery of superconductivity in H3S at megabar pressures, with a Tc = 203 K by the research group led by Dr. Mikhail Eremets, thus marked a revolutionary advance towards achieving superconductivity near room temperature. This breakthrough was soon followed by discoveries of even higher Tc values in hydrogen-rich metal hydrides, such as YH9 (Tc ≈ 244 K) and LaH10 (Tc ≈ 250 K). Theoretical models now predict superconductivity above room temperature in several hydrogen-dominated systems under extreme pressures.
About Cooper pairs and Superconducting gap:
In ordinary metals, electrons with energy states near the Fermi level can flow freely. The Fermi level corresponds the highest energy level that electrons can occupy in a solid at absolute zero. However, when a material becomes superconducting, electrons form so-called Cooper pairs, entering a collective quantum state. As a highly correlated state, the Cooper pair of electrons moves like a single entity without scattering with phonons or impurities in the crystal structure of the material and therefore has no resistance. This pairing is characterized by an energy gap near the Fermi level – the superconducting gap – which is the minimum energy needed to break a Cooper pair of electrons. The existence of the gap protects the superconducting state from disturbances like scattering.
The superconducting gap is the defining feature of a superconductor's quantum state. Its value and symmetry offer critical insights into how electrons interact and pair, serving as a fingerprint of the superconducting mechanism.